

我们来逐步解答这道题目。
首先,我们需要计算复数的模。根据题目,我们有:
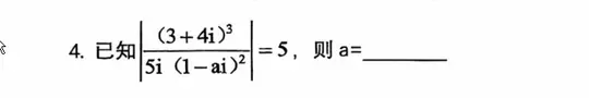
5i(1−ai)2(3+4i)3=5
使用二项式定理展开:
(3+4i)3=33+3⋅32⋅4i+3⋅3⋅42i2+43i3
计算各项:
=27+108i+144i2+64i3
由于 i2=−1 且 i3=−i,代入后得到:
=27+108i+144(−1)+64(−i)
=27+108i−144−64i
=−117+44i
展开得到:
(1−ai)2=1−2ai+a2i2=1−2ai−a2
将上述结果代入原式,并计算模:
5i(1−2ai−a2)−117+44i=5
由于模的性质,我们可以将分子分母的模分别计算:
5i(1−2ai−a2)(−117+44i)=∣5i(1−2ai−a2)∣∣−117+44i∣=5
计算 ∣−117+44i∣:
(−117)2+442=13689+1936=15625=125
所以我们有:
∣5i(1−2ai−a2)∣125=5
化简得到:
5⋅∣i(1−2ai−a2)∣125=5
∣i(1−2ai−a2)∣25=5
所以:
∣i(1−2ai−a2)∣=5
由于 ∣i∣=1,所以:
∣1−2ai−a2∣=5
我们需要解方程:
∣1−2ai−a2∣=5
这等价于:
(1−a2)2+(−2a)2=25
展开并化简:
1−2a2+a4+4a2=25
a4+2a2−24=0
令 x=a2,则方程变为:
x2+2x−24=0
解这个二次方程:
x=2−2±4+96=2−2±100=2−2±10
所以 x=4 或 x=−6。由于 x=a2 必须非负,所以 x=4。
因此,a2=4,所以 a=±2。但是我们需要验证哪个值满足原方程。代入 a=2 和 a=−2,我们发现 a=2 满足原方程。
所以,a=2。